सम्पर्क
गुनासो गर्नुहोस्
गृह मन्त्रालय
टेलिफोन निर्देशिका
नेपाली
English
न्यून व्यान्डविथ
Invert Color
A-
A
A+
नेपाल सरकार
जिल्ला प्रशासन कार्यालय, उदयपुर
इलाका प्रशासन कार्यालय, कटारी, उदयपुर
नेपाल सरकार
जिल्ला प्रशासन कार्यालय, उदयपुर
इलाका प्रशासन कार्यालय, कटारी, उदयपुर
न्यून व्यान्डविथ
Invert Color
A-
A
A+
गृह पृष्ठ
हाम्राे बारे
परिचय
कर्मचारी विवरण
संगठन संरचना
हालसम्मका कार्यालय प्रमुखहरूको विवरण
सूचना
प्रगति विवरण
मासिक प्रगति विवरण
वार्षिक प्रगति विवरण
त्रैमासिक कार्य प्रगति विवरण
नागरिेक वडापत्र
डाउनलोड
विविध
नागरिकता सम्बन्धी
निवेदनहरू
सम्पर्क विवरण
कटारीमा अवस्थित विभिन्न सरकारी कार्यालयका कार्यालय प्रमुखको सम्पर्क विवरण
मासिक प्रगति विवरण
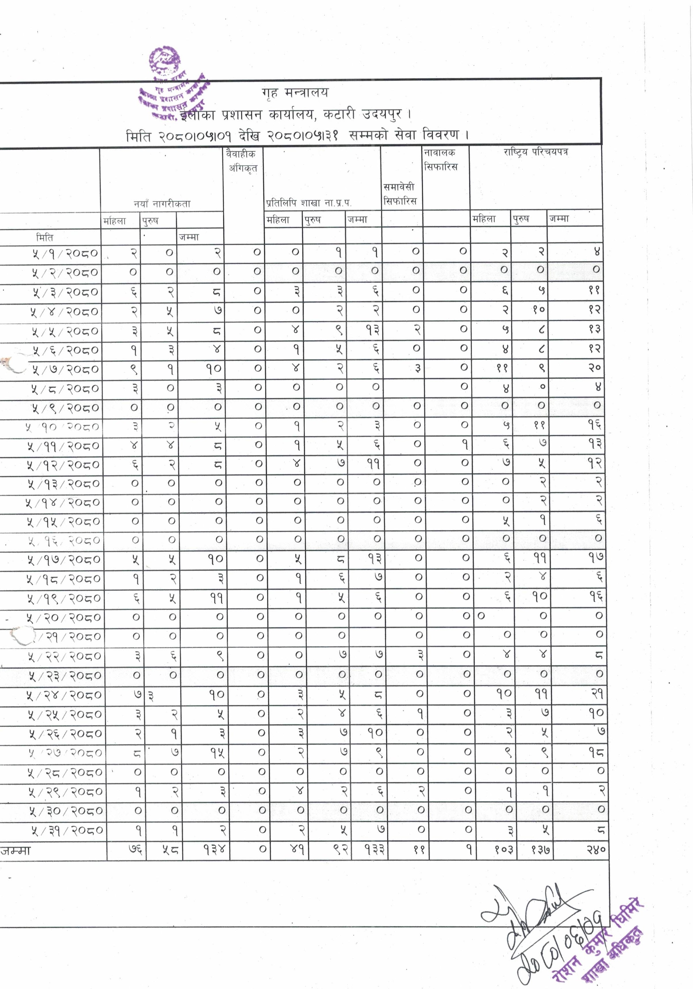
२०८० साल भदौ महिनाको...
२०८० साल भदौ महिनाको मासिक कार्य प्रगति विवरण
2080-10-10
2080-10-10
फाईलको नाम
डोउनलोड
२०८०_सान_भदौ_महिनाको_मासिक_कार्य_प्रगति_विवरण.jpg
२०८०_सान_भदौ_महिनाको_मासिक_कार्य_प्रगति_विवरण.jpg
मासिक प्रगति विवरण
05
चैत्र
२०८२ साल फाल्गुन मसान्तको मासिक कार्य विवरण
1 महिना अगाडी
08
फाल्गुन
२०८२ साल माघ मसान्तको मासिक कार्य विवरण
2 महिना अगाडी
02
माघ
२०८२ साल पौष मसान्तको मासिक कार्य विवरण
3 महिना अगाडी
13
पुस
२०८२ साल मंसिर मसान्तको मासिक कार्य विवरण
3 महिना अगाडी
15
मङ्सिर
२०८२ साल कार्तिक मसान्तको मासिक कार्य विवरण
4 महिना अगाडी
14
कार्तिक
२०८२ साल असोज मसान्तको मासिक कार्य विवरण
5 महिना अगाडी
06
अशोज
२०८२ साल भदौ मसान्तको मासिक कार्य विवरण
7 महिना अगाडी
सबै हेर्नुहोस
पछिल्लो अपडेट गरिएको : 2083-01-09 15:44:40
© सर्वाधिकार सुरक्षित इलाका प्रशासन कार्यालय, कटारी, उदयपुर
.