सम्पर्क
गुनासो गर्नुहोस्
गृह मन्त्रालय
टेलिफोन निर्देशिका
नेपाली
English
न्यून व्यान्डविथ
Invert Color
A-
A
A+
नेपाल सरकार
जिल्ला प्रशासन कार्यालय, उदयपुर
इलाका प्रशासन कार्यालय, कटारी, उदयपुर
नेपाल सरकार
जिल्ला प्रशासन कार्यालय, उदयपुर
इलाका प्रशासन कार्यालय, कटारी, उदयपुर
न्यून व्यान्डविथ
Invert Color
A-
A
A+
गृह पृष्ठ
हाम्राे बारे
परिचय
कर्मचारी विवरण
संगठन संरचना
हालसम्मका कार्यालय प्रमुखहरूको विवरण
सूचना
प्रगति विवरण
मासिक प्रगति विवरण
वार्षिक प्रगति विवरण
त्रैमासिक कार्य प्रगति विवरण
नागरिेक वडापत्र
डाउनलोड
विविध
नागरिकता सम्बन्धी
निवेदनहरू
सम्पर्क विवरण
कटारीमा अवस्थित विभिन्न सरकारी कार्यालयका कार्यालय प्रमुखको सम्पर्क विवरण
सूचना
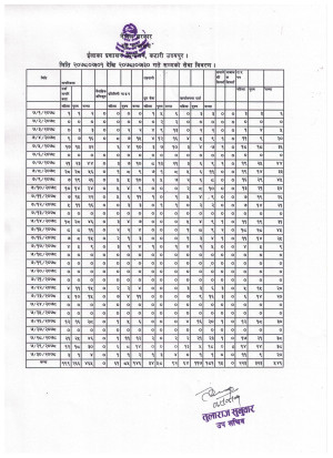
मिति २०७८।०७।०१ देखी...
मिति २०७८।०७।०१ देखी २०७८।०७।३० सम्मको मास्के प्रतिवेदन ।
2078-08-02
2078-08-02
तस्बिर :
तस्बिर :
सूचना
15
फाल्गुन
सेवा प्रवाह सम्बन्धी सूचना
1 महिना अगाडी
15
फाल्गुन
सार्वजनिक बिदा सम्बन्धमा
1 महिना अगाडी
02
कार्तिक
चाडपर्व मनाउने सम्बन्धमा ।
6 महिना अगाडी
02
कार्तिक
मतदाता नामावलीमा नाम दर्ता तथा विवरण अद्यावधिक गर्ने सम्बन्धमा ।
6 महिना अगाडी
18
श्रवण
व्यक्तिगत घटना दर्ता प्रमाणपत्रमा उल्लिखित विवरण एक पटक सच्याउन सकिने सम्बन्धी सूचना ।
8 महिना अगाडी
01
अषाढ
विविध प्रयोजनका लागि पेश गरिने निवेदन सम्बन्धमा
10 महिना अगाडी
27
बैशाख
२०८२ सालको सार्वजनिक बिदाको दिनमा समेत सेवा प्रवाह हुने सम्बन्धी सूचना !
11 महिना अगाडी
सबै हेर्नुहोस
पछिल्लो अपडेट गरिएको : 2083-01-09 15:44:40
© सर्वाधिकार सुरक्षित इलाका प्रशासन कार्यालय, कटारी, उदयपुर
.